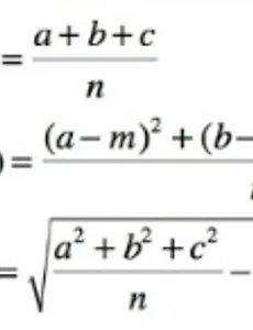
Shell Script1 Shell script awk로 평균, 표준편차 구하기 측정한 각도 데이터들을 깔끔하게 정리해주고, 정리된 각도 데이터들의 평균과 표준 편차를 구하고자 간단히 shell script를 만들어 보았습니다. 먼저 기억에서 가물가물한 표준편차 구하는 공식을 살펴보면.... [1] Google 검색을 해보니, 표준 편차를 구하는 여러 개의 Shell Script를 찾을 수 있었습니다. [2, 3] Shell script에서 awk를 이용한 연산을 할 때 소수점 자리 수 표현 방법을 찾아보았고 [4] 엑셀 연산에서 STDEV 함수와 STDEVP 함수의 차이점에 대해 알아보았습니다. [5] 얻은 데이터들을 위의 공식대로 계산해 보니, STDEVP 함수를 이용한 값과 일치하네요. 표준편차 구하는 공식과 여러 가지 공부한 자료를 가지고 Shell Script를 만들어 보았.. 2012. 11. 19. 이전 1 다음